연 200만 원 세금 '증발'의 마법? 중소기업 취업자라면 지금 바로 신청해야 하는 이유
연 200만 원 세금 '증발'의 마법? 중소기업 취업자라면 지금 바로 신청해야 하는 이유
최대 90% 소득세 감면 혜택, 신청 안 하면 '0원'
청년부터 경력단절 근로자까지 필독

본문의 이해를 돕기 위해 생성형 AI로 만든 이미지
직장인들에게 '13월의 월급'이라 불리는 연말정산 시즌이 다가오면 누군가는 웃고 누군가는 울기 마련이다. 특히 중소기업에 재직 중인 근로자라면 본인이 연간 최대 200만 원의 세금을 아낄 수 있는 '중소기업 취업자 소득세 감면' 대상인지 반드시 확인해야 한다. 신청하지 않으면 단 한 푼의 혜택도 받을 수 없기 때문이다.
이 제도는 중소기업에 취업한 청년, 고령자, 장애인, 경력단절 근로자의 소득세를 파격적으로 깎아주는 조세특례제도다. 감면 대상이 되는 청년의 경우 취업일로부터 5년간 소득세의 90%를, 그 외 대상자는 3년간 70%를 감면받을 수 있다. 과세기간별 한도는 200만 원에 달한다.
하지만 모든 중소기업 근로자가 대상은 아니다. 법률적으로 정해진 연령과 기업 요건, 그리고 업종 제한을 충족해야만 한다. 또한, 본인이 직접 국세청에 신청하는 것이 아니라 원칙적으로 '회사'를 통해 신청해야 한다는 점을 모를 경우 혜택을 놓치기 십상이다.
내가 대상자일까? 나이와 기업 요건 '선명한 가이드라인'
가장 먼저 확인해야 할 것은 연령이다. 청년의 경우 근로계약 체결일 현재 15세 이상 34세 이하여야 한다. 만약 군 복무를 마쳤다면 그 기간(최대 6년)만큼 연령 계산에서 빼주기 때문에, 실제 나이가 34세를 넘더라도 병역 이행 기간을 제외한 연령이 기준 이하라면 혜택을 볼 수 있다.
청년 외에도 60세 이상의 고령자, 장애인 복지법에 따른 장애인 및 국가유공자 상이자, 그리고 경력단절 근로자가 감면 대상에 포함된다. 다만 기업의 임원이나 최대주주(대표자) 및 그 배우자, 직계존비속 등 특수관계인은 혜택에서 제외되며, 일용근로자나 건강보험 납부 사실이 확인되지 않는 사람도 대상이 될 수 없다.
기업 요건도 중요하다. 중소기업기본법에 따른 중소기업이어야 하며, 제조업, 건설업, 도매 및 소매업, 숙박 및 음식점업 등 법률이 정한 업종을 주된 사업으로 영위해야 한다. 반면 국가나 지방자치단체, 공공기관, 지방공기업은 제외되며, 법률상 수의업이나 주점업 등 일부 서비스 업종도 감면 대상에서 빠진다.

몰라서 못 받은 '숨은 월급' 찾기! 90% 감면부터 현금 지원까지… 확실한 절세 방법
연 200만 원 한도, '소득공제'와 중복 적용 가능할까?
많은 근로자가 궁금해하는 지점은 인적공제나 주택자금 공제 같은 일반적인 '소득공제'와 이 감면 제도를 동시에 적용받을 수 있는지 여부다. 결론부터 말하면 두 혜택은 별개의 단계에서 적용되므로 함께 받을 수 있다. 소득공제는 과세표준을 정하는 단계에서, 세액감면은 이미 계산된 산출세액에서 세금을 깎아주는 방식이기 때문이다.
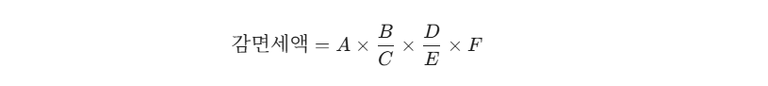
구체적인 감면세액 계산식은 다음과 같다.

A: 종합소득산출세액
B: 근로소득금액
C: 종합소득금액
D: 감면대상 중소기업체로부터 받는 총급여액
E: 해당 근로자의 총급여액
F: 감면율 (청년 90%, 그 외 70%)
단, 소득공제를 많이 받아 산출세액(A) 자체가 줄어들면 결과적으로 감면받는 금액도 줄어들 수 있다는 점은 유의해야 한다. 또한 이미 퇴직한 근로자라면 회사를 통하지 않고 주소지 관할 세무서에 직접 신청할 수 있는 예외 조항도 존재한다.
법원이 말하는 조세특례의 엄격성... "과세기간 종료일 기준"
법률 전문가들은 이 제도가 한시적인 조세특례인 만큼, 요건 충족 여부를 엄격하게 판단해야 한다고 조언한다. 대법원 판례(대법원 2006. 1. 13. 선고 2005두685 판결)에 따르면, 중소기업에 대한 특별세액감면 제도는 중소기업의 재무구조 개선 등을 지원하기 위한 목적이기에, 적어도 감면 적용 대상이 되는 과세기간 종료일 당시 해당 사업을 영위하고 있어야 한다고 판시한 바 있다.
현재 이 제도는 2026년 12월 31일까지 취업한 근로자를 대상으로 시행된다. 신청 시기는 취업일이 속하는 달의 다음 달 말일까지 신청서를 회사에 제출하는 것이 원칙이다. 만약 신청 시기를 놓쳤더라도 경정청구 등을 통해 사후에 환급받을 수 있는 길이 열려 있으므로, 지금이라도 본인의 요건을 면밀히 살펴볼 필요가 있다.

